Hari/tanggal : Selasa / 05 September 2023
Materi : Pembagian Pecahan
Tujuan
 pembelajaran : Dengan menyimak penjelasan di bloq ,peserta didik dapat 
menyelesaikan soal yg berhubungan dengan penbagian pecahan 
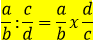
A. Rumus pembagian pecahan biasa
Yuk kita mulai gunakan rumus di atas untuk latihan soal.
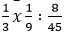
a. 5/24
b. 5/27
c. 5/9
d. 15/28
Jawab:
a. 10/3
b. 5/6
c. 8/15
d. 3/10
Jawab:
B. Pembagian Pecahan dengan Bilangan Bulat
Membagi pecahan dengan bilangan bulat, caranya sama saja dengan membagi dengan pecahan biasa. Hanya saja bilangan bulat diubah terlebih dahulu ke bentuk pecahan dengan menambahkan nilai penyebut = 1. Berikut contohnya.
Kemudian dapat dilanjutkan dengan konsep dasar seperti di atas.
Pecahan 3/16 termasuk pecahan biasa karena pembilang lebih kecil dari penyebut.
Jadi, hasilnya 3/16
c. Pembagian Pecahan dengan Pecahan Campuran
Untuk mempermudah perhitungan, pembagian menggunakan pecahan campuran sebaiknya diubah ke bentuk pecahan tidak biasa terlebih dahulu. Berikut contohnya.
Karena pecahan yang dibagi dan pembaginya merupakan pecahan campuran, maka keduanya diubah terlebih dahulu ke pecahan tidak biasa.
Tips: mengubah pecahan campuran ke pecahan tidak biasa dapat dilakukan dengan mengubah nilai bulat ke pecahan dengan mengalikan penyebut. Kemudian menjumlahkannya.
Sehingga diperoleh,
Pecahan 38/15 termasuk pecahan tidak biasa karena pembilang lebih besar dari penyebut, sebaiknya diubah ke pecahan campuran.
Perhatikan 38/15 merupakan pecahan sederhana namun tidak biasa, karena FPB dari 38 dan 15 adalah 1.
Jadi, hasilnya 28/1
👉Latihan soal
1. 4 1/5 : 2 1/4 = 
2. 2 1/3 : 7 1/2 =
3. 2 3/8 : 1 1/2 = 
4. 3 1/7 : 3 3/8 = 
5. 3 2/5 : 7/10 =
SELAMAT BELAJAR 












Tidak ada komentar:
Posting Komentar